太阳成集团tyc151cc(中国)股份有限公司
欢迎进入
太阳成集团tyc151cc
集团首页
个人工作平台
服务大厅
公司办公
English
首页
关于我们
太阳成集团tyc151cc介绍
组织机构
院徽院训
公司领导
公司地标
团队队伍
全职教师
教授
副教授
讲师
青年教授
按教师所在部门查看
基础数学研究所
计算数学研究所
应用数学研究所
运筹与控制研究所
概率统计研究所
综合办公室
团委、员工工作办公室
人才计划
名师风采
客座教授-兼职教授
离退休教师
科学研究
团队建设
科研项目
科研奖励
机构知识库
研究所
学术交流
招生工作
工作开展
报考流程
旗下产业
专业介绍
教学计划
日常管理
萃英班
暑期公司专栏
研究生教育
专业设置
指导教师
奖助体系
培养动态
实习就业
博士后
日常管理
人才招聘
员工之窗
员工动态
员工旧照
员工捐赠
员工专访
联系方式
招生工作
工作开展
报考流程
当前位置:
首页
>
招生工作
>
工作开展
> 正文
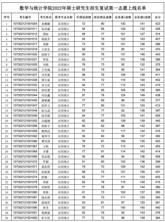
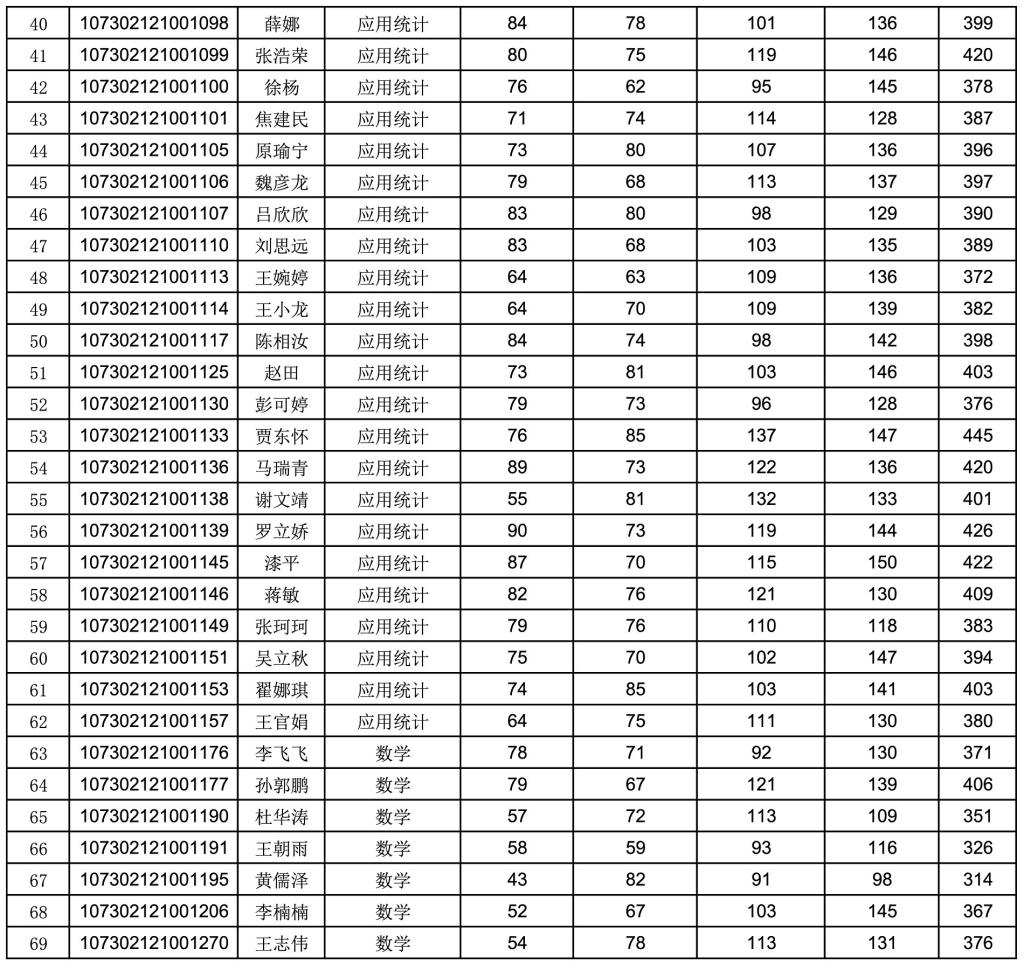
2022年硕士研究生招生复试第一志愿上线名单
日期:2022-03-22
点击数:次
上一篇:
2022年硕士研究生招生预调剂意向员工名单
下一篇:
2022年硕士研究生复试录取实施细则